0931-4967592
注册
登录
中文
EN
Toggle navigation
首页
综合新闻
数据资源
台站数据
专题数据
期刊数据
模型资源
全球灾害
应急响应
数据汇交
数据汇交文档
汇交数据资源
基地资源
科普
平台介绍
数据分类
Data
冰川
373
冻土
103
沙漠与荒漠化
140
积雪
75
极地
5
水文
430
生态
411
水土保持
697
气象
332
基础地理
368
遥感及产品
492
统计公报
35
社会经济文化
17
地球化学
10
滑坡
85
泥石流
12
大气本底
66
其他
439
来源站点或项目
figshare数据管理
47
HARVARD Dataverse数据管理
9
Mendeley Data数据管理
1
PANGAEA数据管理
9
Science Data数据管理
29
Zenodo数据管理
161
冰冻圈变化及其影响研究
42
冰冻圈大数据挖掘分析关键技术及应用
44
波密地质灾害观测研究站
11
藏北高原冰冻圈特殊环境与灾害国家野外科学观测研究站
39
长江三峡滑坡观测站
65
长江水资源开发保护战略与关键技术研究
3
长江下游洪涝灾害集成调控与应急除险技术装备
52
大型煤矿和有色矿矿井水高效利用技术与示范
78
多模式引导的多粒子生物适形调强新技术研究与实现
44
风电场、光伏电站生态气候效应和环境影响评价研究
14
复杂微细粒毒砂型金矿高效提质降杂关键技术研究
3
干旱区绿洲化、荒漠化过程及其对人类活动、气候变化的响应与调控
80
甘肃典型脆弱生态系统健康评估与预警技术研发与示范
9
甘肃省祁连山生态环境研究中心
24
甘肃省祁连山水源涵养林研究院
9
甘肃省生态环境资源专题数据
50
高坝深埋病害精准诊断与可视化除险技术装备
39
高寒内陆盆地水循环全过程高效利用与生态保护技术
44
国家冰川冻土沙漠科学数据中心2020年度开放基金项目
11
寒区旱区科学数据中心
304
黑河流域生态-水文过程综合遥感观测联合试验
182
黑河综合遥感联合试验
235
荒漠化退化草地治理技术及示范
32
黄河凌汛监测与灾害防控关键技术研究与示范
34
黄河流域高质量发展
119
黄河流域水土保持生态环境监测中心
421
黄河流域水域生态数据
6
黄河水土保持绥德治理监督局(绥德水土保持科学试验站)
140
黄土滑坡失稳机理、防控方法研究与防治示范
30
黄委会天水水土保持科学试验站
47
黄委会西峰水土保持科学试验站
83
极地冷海钻井关键技术研究
41
泾河流域高质量体系化数据
21
科学数据银行
1
可可托海冰冻圈观测研究站
13
临安大气成分本底观测站
8
龙凤山大气成分本底观测站
8
内蒙古根河市冷资源研究院
2
平凉陆面过程与灾害观测研究站
10
平台服务中心
613
祁连山自然保护区生态环境评估、预警与监控关键技术研究
35
气候变化背景下高原典型湖泊冰雪物理与冰封生态环境演化及机理研究
18
若尔盖高原湿地生态系统研究站
43
赛事用雪保障关键技术研究与应用示范
12
陕西省西安市长安区滦镇街道喂子坪村鸡窝子组泥石流灾害科学数据应急响应服务
2
上甸子大气成分本底观测站
18
涉水重大基础设施安全保障技术研究与工程示范
72
生态脆弱区绿色升级发展途径与区域综合示范
66
四川泸定县6.8级地震应急响应服务
30
塔克拉玛干沙漠气象野外科学观测研究站
26
唐古拉冰冻圈与环境观测研究站
25
天山冰川观测试验站
48
瓦里关大气成分本底观测站
16
渭河流域高质量体系化数据
40
乌拉特荒漠草原研究站
3
西北荒漠-绿洲区稳定性维持与生态系统综合管理技术
14
西北内陆区水资源安全保障技术集成与应用
145
小型高效节能的沙漠苦咸水膜法淡化工艺开发和设备研制
22
应对石羊河流域干旱与荒漠化风险的自然基解决方案
12
云南东川泥石流国家野外科学观测研究站
11
智能导钻技术装备体系与相关理论研究
5
中国北方半干旱荒漠区沙漠化防治关键技术与示范
17
中国荒漠主要植物群落调查
27
中国积雪特性及分布调查
40
中国科学数据
1
中国西部主要冰川作用中心冰量变化调查
75
首页
数据资源
地理学
×
1991
×
收起筛选
主 题:
历史情景(1979年-2017年)
(57)
柴达木盆地
(14)
可降水量
(13)
可增加径流
(12)
可增加降水
(12)
可降水转化率
(12)
降水量
(11)
黑河流域
(9)
西北内陆区
(8)
中国
(5)
全球
(5)
古尔班通古特荒漠区
(5)
吐哈盆地小河
(5)
塔里木河干流
(5)
塔里木河源流
(5)
塔里木盆地荒漠区
(5)
天山北麓诸河
(5)
昆仑山北麓小河
(5)
河西内陆河
(5)
阿尔泰山以南
(5)
青海湖水系
(5)
青藏高原
(5)
冻土
(4)
降水
(4)
额济纳旗
(4)
1985-2018
(3)
NDVI
(3)
伊犁
(3)
天山
(3)
气象
(3)
0℃层高度变化
(2)
0℃高度分布
(2)
100km
(2)
1km
(2)
ERA5—Land
(2)
PM2.5
(2)
土壤温度
(2)
气温变化率
(2)
湖冰
(2)
祁连山
(2)
融雪型洪水灾害
(2)
降尺度
(2)
降水变化率
(2)
高原湖泊
(2)
1970-2018年
(1)
1979年-2017年
(1)
1985-2018年
(1)
1km空间分辨率
(1)
4 千米
(1)
500米
(1)
AVHRR
(1)
BPNN
(1)
CAMELE
(1)
DFBD
(1)
DFBD 事件
(1)
DMS
(1)
ERA5
(1)
GIMMS LAI4g
(1)
GIMMS叶面积指数
(1)
GLDAS2
(1)
GLEAM3.2a
(1)
GPP
(1)
LAI
(1)
Landsat
(1)
MERRA-2
(1)
MOD16-STM
(1)
PAH
(1)
SMMR
(1)
SPEI
(1)
SSRIH
(1)
TM
(1)
UFP
(1)
iGCMs
(1)
东南极
(1)
中国东北
(1)
二甲基硫醚
(1)
二级分区面积统计
(1)
亚欧大陆
(1)
亚洲季风
(1)
产流系数
(1)
作物地图
(1)
作物物候指标
(1)
全国玉米物候产品
(1)
全球小麦生产测绘系统
(1)
全球综合
(1)
全站点建模
(1)
内陆水域
(1)
农作物
(1)
冰冻圈遥感产品
(1)
冰川
(1)
冰川年物质平衡
(1)
冰川快速萎缩
(1)
冰川湖扩张
(1)
冰川轮廓
(1)
冰川面积
(1)
冰川面积变化
(1)
冰川高程变化
(1)
冰川(冰盖)
(1)
冰芯
(1)
初级生产总值
(1)
学 科:
地理学
(151)
水文学
(5)
大气科学
(3)
地图学
(1)
地球化学
(1)
水文气象学
(1)
期 刊:
地球系统科学数据
(31)
Scientific Data
(3)
Global Ecology and Biogeography
(1)
IEEE Journal of Selected Topics in Applied Earth Observations and Remote Sensing
(1)
中国科学数据
(1)
全球生物地球化学循环
(1)
水文与地球科学
(1)
遥感
(1)
时 间:
2023
(12)
2022
(18)
2021
(24)
2020
(46)
2019
(50)
2018
(62)
2017
(131)
2016
(140)
2015
(143)
2014
(143)
2013
(143)
2012
(144)
2011
(144)
2010
(144)
2009
(144)
2008
(145)
2007
(145)
2006
(144)
2005
(145)
2004
(145)
2003
(146)
2002
(146)
2001
(145)
2000
(149)
1999
(149)
1998
(149)
1997
(149)
1996
(149)
1995
(150)
1994
(149)
1993
(150)
1992
(150)
1991
(151)
1990
(150)
1989
(148)
1988
(148)
1987
(147)
1986
(145)
1985
(144)
1984
(133)
1983
(131)
1982
(131)
1981
(123)
1980
(121)
1979
(113)
1978
(46)
1977
(45)
1976
(45)
1975
(45)
1974
(45)
1973
(45)
1972
(45)
1971
(43)
1970
(43)
1969
(37)
1968
(37)
1967
(37)
1966
(34)
1965
(34)
1964
(33)
1963
(32)
1962
(32)
1961
(32)
1960
(28)
1959
(24)
1958
(22)
1957
(22)
1956
(19)
1955
(18)
1954
(17)
1953
(17)
1952
(17)
1951
(16)
1950
(15)
1949
(14)
1948
(14)
1947
(14)
1946
(14)
1945
(14)
1944
(14)
1943
(13)
1942
(13)
1941
(13)
1940
(13)
1939
(10)
1938
(10)
1937
(10)
1936
(10)
1935
(10)
1934
(10)
1933
(10)
1932
(10)
1931
(10)
1930
(10)
1920
(9)
1919
(9)
1918
(9)
1917
(9)
1916
(9)
1915
(9)
地 点:
全球
(14)
柴达木盆地
(14)
中国
(12)
西北内陆区
(8)
额济纳旗达来库布镇
(8)
古尔班通古特荒漠区
(5)
吐哈盆地小河
(5)
塔里木河干流
(5)
塔里木河源流
(5)
塔里木盆地荒漠区
(5)
天山北麓诸河
(5)
昆仑山北麓小河
(5)
阿尔泰山以南
(5)
青海湖水系
(5)
青藏高原
(5)
中国陆域
(4)
河西内陆河
(4)
伊犁
(3)
北半球
(3)
天山积雪雪崩站气象观测场
(3)
新疆区域
(2)
祁连山
(2)
三江源
(1)
三江源头地区
(1)
东南极
(1)
中国东北地区
(1)
中国区域
(1)
中国南极科学考察断面
(1)
中国大陆
(1)
中尼跨境流域
(1)
亚欧大陆
(1)
亚洲区域
(1)
全球范围
(1)
全球陆地(南极洲除外)
(1)
冰冻圈
(1)
南美洲
(1)
喜马拉雅山中部
(1)
天山乌鲁木齐一号冰川
(1)
榆林
(1)
河西内陆区
(1)
玛纳斯河流域
(1)
甘肃省
(1)
甘肃省张掖市甘州区龙渠乡莺落峡
(1)
祁连山国家公园
(1)
绥德
(1)
辽宁
(1)
鄂陵湖
(1)
陕西省
(1)
青海湖
(1)
青藏高原东北部祁连山上空老虎沟冰川
(1)
青藏高原东部
(1)
青藏高原东部源头河流
(1)
韭园沟
(1)
黑河流域
(1)
共享方式:
离线申请
(89)
在线下载
(62)
贡献者:
钟德钰
(63)
朱高峰
(9)
鱼腾飞
(9)
刘艳
(3)
彭小清
(3)
李兰海
(3)
王海存
(3)
郝建盛
(3)
刘明哲
(2)
富翔
(2)
张晗
(2)
文莉娟
(2)
朱再春
(2)
李庆祥
(2)
李志军
(2)
李春江
(2)
杨柳依依
(2)
杨汉波
(2)
牛瑞佳
(2)
王梦晓
(2)
王让会
(2)
赵国辉
(2)
郝晓华
(2)
金浩东
(2)
陈书超
(2)
霍璞真
(2)
NASA Landslide Viewer
(1)
Shiyin Liu
(1)
侯程程
(1)
刘会玉
(1)
刘国华
(1)
刘峰贵
(1)
刘巧
(1)
刘时银
(1)
刘爽爽
(1)
刘章文
(1)
吴佳
(1)
吴彦宏
(1)
吴立宗
(1)
姜丽光
(1)
宋春林
(1)
尹家波
(1)
康世昌
(1)
张万昌
(1)
张亚峰
(1)
张峰
(1)
张彦军
(1)
张晓叶
(1)
张朝
(1)
成里京
(1)
施建平
(1)
曹森
(1)
朱国峰
(1)
朱钰
(1)
李伟
(1)
李传金
(1)
李卓群
(1)
李弘毅
(1)
李明
(1)
李晓峰
(1)
李玥
(1)
李琰
(1)
李红梅
(1)
杜文涛
(1)
杨杰
(1)
杨淑静
(1)
杨鹏
(1)
柯长青
(1)
梁诗
(1)
楚懿
(1)
毛克彪
(1)
沈言龙
(1)
潘恺
(1)
潘颜霞
(1)
王书肖
(1)
王君櫹
(1)
王国杰
(1)
王峰
(1)
王希强
(1)
王建
(1)
王新平
(1)
王晓艳
(1)
王飞腾
(1)
田汉琴
(1)
祝瑞祥
(1)
纪文政
(1)
罗斯琼
(1)
胡凯衡
(1)
蒋正德
(1)
虎瑞
(1)
袁文平
(1)
谭晓晴
(1)
赵琴
(1)
赵雯
(1)
车涛
(1)
郑景云
(1)
郑立臣
(1)
金涛勇
(1)
钟妍
(1)
钟歆玥
(1)
贡献单位:
清华大学水利水电工程系
(63)
中国科学院西北生态环境资源研究院
(22)
兰州大学
(16)
1.中国科学院新疆生态与地理研究所 2.中国科学院地理科学与资源研究所
(3)
中国气象局乌鲁木齐沙漠气象研究所
(3)
中国科学院新疆生态与地理研究所
(3)
中山大学大气科学学院
(3)
兰州大学资源环境学院
(3)
清华大学
(3)
中国科学院空天信息创新研究院
(2)
北京大学深圳研究生院城市规划与设计学院
(2)
北京师范大学
(2)
南京信息工程大学应用气象学院
(2)
大连理工大学海岸和近海工程国家重点实验室
(2)
武汉大学
(2)
中国农业科学院农业资源与农业区划研究所遥感室
(1)
中国科学院山地灾害与环境研究所
(1)
NASA
(1)
Yunan University
(1)
中国农业大学
(1)
中国农业科学院农业资源与农业区划研究所
(1)
中国林业科学院荒漠化研究所
(1)
中国气象科学研究院
(1)
中国科学院、水利部成都山地灾害与环境研究所
(1)
中国科学院东北地理与农业生态研究所
(1)
中国科学院南京土壤研究所
(1)
中国科学院地理科学与资源研究所
(1)
中国科学院大气物理研究所
(1)
中国科学院成都山地灾害与环境研究所
(1)
中国科学院沈阳应用生态研究
(1)
中国科学院沈阳应用生态研究所
(1)
中国科学院西北生态环境资源研究院冰冻圈科学国家重点实验室
(1)
中国科学院青藏高原研究所
(1)
云南大学国际河流与生态安全研究院
(1)
兰州大学资源环境学院
(1)
南京信息工程大学
(1)
南京大学
(1)
南京师范大学地理科学学院
(1)
南京财经大学
(1)
南方科技大学环境科学与工程学院
(1)
四川大学
(1)
国家极地科学数据中心
(1)
国家气候中心
(1)
复旦大学
(1)
武汉大学大地测量与测绘学院
(1)
武汉大学测绘遥感信息工程国家重点实验室
(1)
波士顿学院
(1)
深圳大学地理空间信息研究团队
(1)
清华大学环境学院
(1)
甘肃省农业科学院作物研究所
(1)
衡阳师范学院地理与旅游学院
(1)
西北师范大学地理与环境科学学院
(1)
长安大学水利与环境学院
(1)
青海师范大学
(1)
青海省气象科学研究所
(1)
黄河水土保持绥德治理监督局(绥德水土保持科学试验站)
(1)
项目支持:
西北内陆区水资源安全保障技术集成与应用
(72)
高寒内陆盆地水循环全过程高效利用与生态保护技术
(9)
天山中部气象、冻土、积雪和雪崩地面观测数据集
(3)
天山地区高速公路冰雪灾害成因、分布特征、工程治理、除雪保通成套关键技术研究
(3)
天山大陆性雪气候雪崩诱发机制研究
(3)
祁连山自然保护区生态环境评估、预警与 监控关键技术研究
(3)
青藏高原热喀斯特地貌的时空演变及未来预测
(3)
冰冻圈大数据挖掘分析关键技术及应用
(2)
气候变化背景下高原典型湖泊冰雪物理与冰封生态环境演化及机理研究
(2)
中国月尺度积雪融水数据集制作
(1)
中国科学院信息化专项—土壤学科领域基础科学数据整合与集成应用
(1)
人类扰动下喀斯特森林长时间序列动态变化及驱动机制
(1)
全球植被叶面积指数未来变化趋势研究
(1)
北半球季节冻土冻深产品反演
(1)
基于土壤湿度-植被-大气相互作用的干旱自我强化机制研究
(1)
干旱区融雪洪水灾害监测预报和防控关键技术研究与示范
(1)
新疆冰冻圈资源及其服务功能调查
(1)
森林冠层降雪截留遥感监测方法研究
(1)
植被NPP趋势演替和多时间尺度变化对气候变化与人类活动的非线性响应及其预测
(1)
气候变化背景下寒旱区流域融雪洪水灾害中融雪贡献的变化机理研究
(1)
水土保持试验与示范
(1)
洞庭湖流域景观格局变化对水生态服务影响机理及调控
(1)
甘肃省农业生物种质资源科学数据中心建设项目
(1)
生态系统结构功能变化与水土资源承载力
(1)
痕量元素Zn在东南极冰冻圈生物地球化学循环过程及同位素指示
(1)
积雪遥感
(1)
融雪洪水预报预警决策支持与防控系统研发与示范
(1)
近20年北疆地区积雪吸光物质时空变化、成因和影响分析
(1)
近百年全球表面温度变化及其不确定性
(1)
重大泥石流灾害及风险
(1)
风电场、光伏电站生态气候效应和环境影响评价研究
(1)
高含冰量多年冻土对气候变化的响应及机制-以黑河流 域多年冻土为例
(1)
黄河流域人地系统耦合机理与优化调控
(1)
黑土地保护与利用科技创新工程
(1)
默认排序
点击次数
下载量
发布时间
更新时间
1/8
J
国家冰川冻土沙漠科学数据中心
过去 300 年亚洲多指标重建的标准降水指数数据集( 1700-2000年)
基于 2912 个主要来源于树年轮和历史文献的年分辨率代用序列,我们提出了一套自1700年以来每年(11 月至 10 月)覆盖整个亚洲的标准降水指数(SPI)重建,以及雨季(即西亚的11月至4月,其他地区的5月至10月)的标准降水指数重建,空间分辨率为 2.5∘。为了从其相连区域内...
贡献者:
郑景云
点击量:
2698
文件大小:
115.5 MiB
更新时间:
2025-05-29
国家冰川冻土沙漠科学数据中心
天山积雪雪崩研究站气象、水文观测数据集(1967-2021年)
中国科学院天山积雪雪崩研究站建于1967年,是中国和中亚地区唯一进行长时间积雪雪崩监测和专业研究的野外观测站。该站长期开展野外气候、积雪、冻土和雪崩定位观测、水文过程和雪崩形成机理研究、防灾减灾技术研发、集成、示范与推广、合作交流、人才培养、科普教育等,目前主要从事积雪灾害的防御与治...
贡献者:
李兰海, 郝建盛, 刘明哲, 王海存, 魏雯瑜, 楚懿
点击量:
8453
文件大小:
2.5 MiB
更新时间:
2022-07-21
J
国家冰川冻土沙漠科学数据中心
中国6小时PM2.5数据集重建(1960-2020年)
几十年来,PM2.5改变了地球上的辐射平衡,增加了环境和健康风险,但直到2013年才在中国得到广泛监测。历史长期 PM2.5具有高时间分辨率的记录是必不可少的,但对于研究和环境管理都缺乏。在该数据集中,我们重建了一个基于站点的PM2.5从 1960 年到 2020 年每隔 6 小时一...
贡献者:
张晓叶
点击量:
6590
文件大小:
3.6 GiB
更新时间:
2023-10-23
国家冰川冻土沙漠科学数据中心
AVHRR中国积雪物候数据集(1980-2020年)
本数据集基于1980-2020年5kmAVHRR逐日无云积雪面积产品,制备了中国长时间序列积雪物候数据集。数据集按照不同的物候参数共分为积雪日数、积雪初日、积雪终日3个目录,每个目录下包含40个子文件,为逐水文年积雪物候参数,目录命名规则为1980-2020年中国XXXX数据集,其中...
贡献者:
郝晓华, 赵琴, 纪文政, 王建, 李弘毅
点击量:
12552
文件大小:
32.6 MiB
更新时间:
2025-04-25
国家冰川冻土沙漠科学数据中心
青海湖水系各季节可降水量数据集(1979-2017年)
基于空中水资源基本理论,将大气中由特殊的边界层形成的次生环流锁定且具备发生相变转化为云和降水潜力的水物质定义为有效水汽,然后基于水汽辐合区开发有效水汽识别算法,并对区域可开发空中水资源(即有效水汽)的总量和空中水资源降水潜力进行评估。
贡献者:
钟德钰
点击量:
5522
文件大小:
9.5 KiB
更新时间:
2022-06-30
国家冰川冻土沙漠科学数据中心
吐哈盆地小河各季节可降水量数据集(1979-2017年)
基于空中水资源基本理论,将大气中由特殊的边界层形成的次生环流锁定且具备发生相变转化为云和降水潜力的水物质定义为有效水汽,然后基于水汽辐合区开发有效水汽识别算法,并对区域可开发空中水资源(即有效水汽)的总量和空中水资源降水潜力进行评估。
贡献者:
钟德钰
点击量:
5504
文件大小:
9.5 KiB
更新时间:
2022-06-30
国家冰川冻土沙漠科学数据中心
河西内陆河各季节降水量数据集(1979-2017年)
基于空中水资源基本理论,将大气中由特殊的边界层形成的次生环流锁定且具备发生相变转化为云和降水潜力的水物质定义为有效水汽,然后基于水汽辐合区开发有效水汽识别算法,并对区域可开发空中水资源(即有效水汽)的总量和空中水资源降水潜力进行评估。
贡献者:
钟德钰
点击量:
5592
文件大小:
9.5 KiB
更新时间:
2022-06-30
J
国家冰川冻土沙漠科学数据中心
基于深度学习与年度结果增强方法的东北地区水稻历史长序列制图(1985-2023年)
利用多传感器Landsat数据和深度学习模型,首次完成了1985年至2023年中国东北地区水稻的年度分布图绘制。采用年度结果增强法(ARE),该方法能处理深度学习模型在不同阶段产生的类别概率差异。这种方法有助于缓解大规模跨传感器水稻制图时训练样本有限的影响。与传统水稻制图方法相比,A...
贡献者:
杨鹏
点击量:
1256
文件大小:
2.0 GiB
更新时间:
2025-11-27
J
国家冰川冻土沙漠科学数据中心
全球海洋监测系统叶面积指数(GIMMS LAI4g)时空一致的全球数据集(1982-2020年)
具有明确生物物理意义的叶面积指数(LAI)是描述陆地生态系统特征的关键变量。长期的全球 LAI 数据集已成为监测植被动态和探索其与其他地球成分相互作用的基础数据支持。然而,目前的 LAI 产品在时空一致性方面存在一些局限性。在这项研究中,我们采用了反向传播神经网络(BPNN)和数据整...
贡献者:
朱再春
点击量:
3706
文件大小:
5.7 GiB
更新时间:
2025-06-30
国家冰川冻土沙漠科学数据中心
塔里木盆地荒漠区各季节可增加径流数据集(1979-2017年)
基于空中水资源基本理论,将大气中由特殊的边界层形成的次生环流锁定且具备发生相变转化为云和降水潜力的水物质定义为有效水汽,然后基于水汽辐合区开发有效水汽识别算法,并对区域可开发空中水资源(即有效水汽)的总量和空中水资源降水潜力进行评估。
贡献者:
钟德钰
点击量:
5141
文件大小:
9.5 KiB
更新时间:
2022-06-30
国家冰川冻土沙漠科学数据中心
中国1951-2020年月尺度积雪融水数据集
积雪是重要的水资源。本数据以高空间分辨率月尺度降水气温数据为输入,利用度日因子模型计算积融水量,以降雪、雪深、积雪范围和雪水当量等验证模型输出,获取了中国高空间分辨率(0.5′,约1km)1951-2020年月尺度积雪融水数据。数据集包含的地理空间范围是中国主要陆地,不含南海岛礁等区...
贡献者:
阳勇, 刘国华, 刘章文, 王希强
点击量:
9199
文件大小:
3.5 GiB
更新时间:
2025-04-29
国家冰川冻土沙漠科学数据中心
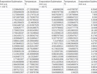
青藏高原东北部祁连山上空老虎沟冰川气象数据集(1961-2005年)
该数据集是1961-2005年青藏高原东北部祁连山上空老虎沟冰川气象记录结果,包含七个表格,分别记录了蒸发/升华、气温、风速、水蒸气、气压等气象要素,以及S/E mm w.e.、PDD/℃、UF、UB、DDF、Different MRR、MZS-Coefficient、DH-Coef...
贡献者:
杜文涛, 康世昌
点击量:
3452
文件大小:
40.6 KiB
更新时间:
2025-06-30
国家冰川冻土沙漠科学数据中心
塔里木河干流各季节可降水转化率数据集(1979-2017年)
基于空中水资源基本理论,将大气中由特殊的边界层形成的次生环流锁定且具备发生相变转化为云和降水潜力的水物质定义为有效水汽,然后基于水汽辐合区开发有效水汽识别算法,并对区域可开发空中水资源(即有效水汽)的总量和空中水资源降水潜力进行评估。
贡献者:
钟德钰
点击量:
5012
文件大小:
9.5 KiB
更新时间:
2022-06-30
国家冰川冻土沙漠科学数据中心
柴达木盆地各季节可增加降水数据集(1979-2017年)
基于空中水资源基本理论,将大气中由特殊的边界层形成的次生环流锁定且具备发生相变转化为云和降水潜力的水物质定义为有效水汽,然后基于水汽辐合区开发有效水汽识别算法,并对区域可开发空中水资源(即有效水汽)的总量和空中水资源降水潜力进行评估。
贡献者:
钟德钰
点击量:
5327
文件大小:
9.5 KiB
更新时间:
2022-06-30
国家冰川冻土沙漠科学数据中心
全球滑坡点及滑坡区域数据集(1915-2021年)
本数据是世界范围内1915-2021年的滑坡数据,每条数据详细记载了灾害搜集来源、时间、类型、大小、经纬度位置等。其中有点数据和面数据。 有以下两类数据: 1.点数据 &em...
贡献者:
NASA Landslide Viewer
点击量:
24113
文件大小:
269.9 MiB
更新时间:
2025-04-29
J
国家冰川冻土沙漠科学数据中心
全球综合性同质化太阳表面辐射数据集
地表太阳辐射(SSR)是地表能量流动的一个重要因素,可以准确捕捉长期气候变化,了解地球大气系统的能量平衡。然而,由于原位观测数据的时间不均匀性和空间分布不均衡性,太阳表面辐射量的长期趋势估计存在很大的不确定性。本文通过整合所有可用的 SSR 观测数据,包括现有的同质化 SSR 结果,...
贡献者:
李庆祥
点击量:
3395
文件大小:
26.9 MiB
更新时间:
2024-09-27
国家冰川冻土沙漠科学数据中心
古尔班通古特荒漠区各季节可增加降水数据集(1979-2017年)
基于空中水资源基本理论,将大气中由特殊的边界层形成的次生环流锁定且具备发生相变转化为云和降水潜力的水物质定义为有效水汽,然后基于水汽辐合区开发有效水汽识别算法,并对区域可开发空中水资源(即有效水汽)的总量和空中水资源降水潜力进行评估。
贡献者:
钟德钰
点击量:
5296
文件大小:
9.5 KiB
更新时间:
2022-06-30
国家冰川冻土沙漠科学数据中心
北半球长时间序列公里级活动层厚度数据集(1850-2100年)
多年冻土区的活动层厚度及年平均地是多年冻土变化研究的重要指标,在当前全球变暖的大背景之下,尤其在高海拔以及高纬度地区,气温变暖的速率还要高于其他地区,这对于多年冻土区的活动层厚度的变化必然会造成很大影响。在以往的研究中,基于野外实测数据以及遥感反演算法已经对活动层厚度在历史时期下的变...
贡献者:
彭小清, 金浩东, 赵国辉
点击量:
8662
文件大小:
71.1 GiB
更新时间:
2025-06-24
国家冰川冻土沙漠科学数据中心
鄂陵湖观测点ERA5-Land 气象驱动场逐时数据(1979.1-2023.6)
基于ERA5-Land再分析数据,结合编程语言,分别提取处理,获得位于鄂陵湖观测点的大气强迫变量。本数据集为鄂陵湖地区的气候变化、湖冰演变研究提供了基础数据,并为Flake等湖泊模式提供了驱动数据。
贡献者:
富翔, 李志军, 李春江, 霍璞真, 陈书超, 张晗, 杨柳依依, 文莉娟, 牛瑞佳, 王梦晓
点击量:
5801
文件大小:
32.4 MiB
更新时间:
2024-03-18
国家冰川冻土沙漠科学数据中心
西北内陆区各季节可增加降水数据集(1979-2017年)
基于空中水资源基本理论,将大气中由特殊的边界层形成的次生环流锁定且具备发生相变转化为云和降水潜力的水物质定义为有效水汽,然后基于水汽辐合区开发有效水汽识别算法,并对区域可开发空中水资源(即有效水汽)的总量和空中水资源降水潜力进行评估。
贡献者:
钟德钰
点击量:
4902
文件大小:
9.5 KiB
更新时间:
2022-06-30